1. Mục đích
Hướng dẫn người dùng sử dụng bộ 7 sổ sách kế toán trên MISA eShop Mobile (điện thoại) để tổng hợp dữ liệu và xem báo cáo đúng chuẩn theo Thông tư 88/2021/TT-BTC, phục vụ quản lý doanh thu, chi phí, hàng tồn, quỹ tiền mặt và tiền gửi ngân hàng một cách đầy đủ, chính xác và thuận tiện ngay trên điện thoại.
2. Các bước thực hiện
Bước 1: Tại màn hình tổng quan, chọn Sổ kế toán.

Bước 2: Nhấn Cập nhật dữ liệu.

Bước 3: Nhấn biểu tượng
và chọn Kỳ lấy dữ liệu.
- Nhấn Xác nhận.

Sau khi cập nhật thành công, phần mềm gửi thông báo Cập nhật dữ liệu cho sổ kế toán thành công, MISA eShop sẽ tự động tổng hợp số liệu lên các sổ sách kế toán theo quy định

Tiến hành xem chi tiết báo cáo từng sổ sách kế toán theo hướng dẫn sau đây:
Sổ S1-HKD: Sổ chi tiết doanh thu bán hàng hóa, dịch vụ
- Chọn S1-HKD: Sổ chi tiết doanh thu bán hàng hóa, dịch vụ.

- Nhấn biểu tượng
và chọn Kỳ báo cáo, nhấn Xem báo cáo.

Tại trang báo cáo S1- HKD, kéo phóng to màn hình để xem chi tiết toàn bộ doanh thu từ hoạt động bán hàng hóa, cung cấp dịch vụ.

- Hoặc Xoay ngang điện thoại để xem màn hình rộng hơn.

- Đổi kỳ báo cáo: Nhấn biểu tượng
để thay đổi kỳ báo cáo. - Tải xuống hoặc chia sẻ báo cáo: Nhấn biểu tượng
để tải xuống báo cáo hoặc chia sẻ báo cáo.
Sổ S2-HKD: Sổ chi tiết vật liệu, dụng cụ, sản phẩm, hàng hóa
- Chọn S2-HKD: Sổ chi tiết vật liệu, dụng cụ, sản phẩm, hàng hóa.

- Nhấn biểu tượng
và chọn Kỳ báo cáo - Nhấn Chọn hàng hóa.

- Tích chọn các sản phẩm cần kiểm tra.

- Chọn Hiển thị hàng hóa có Phát sinh nhập xuất tồn hoặc Có phát sinh nhập xuất.

- Nhấn Xem báo cáo.

Tại trang báo cáo S2- HKD, kéo phóng to màn hình để xem chi tiết toàn bộ việc nhập – xuất nguyên vật liệu, công cụ, hàng hóa.

- Hoặc Xoay ngang điện thoại để xem màn hình rộng hơn.

- Đổi kỳ báo cáo: Nhấn biểu tượng
để thay đổi kỳ báo cáo. - Tải xuống hoặc chia sẻ báo cáo: Nhấn biểu tượng
để tải xuống báo cáo hoặc chia sẻ báo cáo.
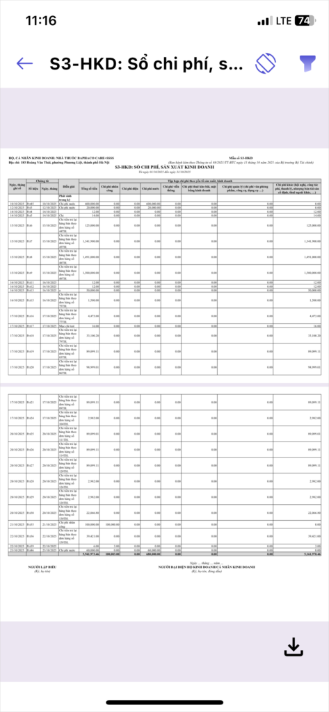
Sổ S3-HKD: Sổ chi phí sản xuất, kinh doanh
- Chọn S3-HKD: Sổ chi phí, sản xuất kinh doanh

- Chọn Kỳ báo cáo, nhấn Xem báo cáo.

- Tại trang báo cáo S3- HKD, kéo phóng to màn hình để xem chi tiết các chi phí sử dụng để phục vụ quá trình kinh doanh.

- Hoặc Xoay ngang điện thoại để xem màn hình rộng hơn.

- Đổi kỳ báo cáo: Nhấn biểu tượng
để thay đổi kỳ báo cáo. - Tải xuống hoặc chia sẻ báo cáo: Nhấn biểu tượng
để tải xuống báo cáo hoặc chia sẻ báo cáo.
Sổ S4-HKD: Sổ theo dõi tình hình thực hiện nghĩa vụ thuế với NSNN
Loại thuế Giá trị gia tăng:
- Chọn S4-HKD: Sổ theo dõi tình hình thực hiện nghĩa vụ thuế với NSNN

- Chọn thời gian Kỳ báo cáo, loại thuế GTGT hoặc TNCN, nhấn Xem báo cáo.

- Nhấn Nhập dữ liệu

- Thực hiện nhập dữ liệu ghi nhận thuế GTGT, sau đó nhấn Lưu.

Tương tự như vậy, thực hiện nhập dữ liệu Chi thuế GTGT, sau đó nhấn Lưu.
Loại thuế Thu nhập cá nhân:
- Chọn Thu nhập cá nhân và Nhập dữ liệu tương tự thuế Giá trị gia tăng.

Sau đó có thể xem báo cáo, hệ thống sẽ tự động đồng bộ và thể hiện lên báo cáo mẫu sổ.

Sổ S5-HKD: Sổ theo dõi tiền lương và các khoản trích theo lương
- Chọn S5: Sổ theo dõi tiền lương và các khoản trích theo lương

- Chọn thời gian Kỳ báo cáo, nhấn Xem báo cáo.

- Nhấn Nhập dữ liệu.

- Nhấn biểu tượng (+) để tiến hành nhập dữ liệu.

- Thực hiện nhập dữ liệu, sau đó nhấn Lưu.

- Sau khi hoàn tất, nhấn Lưu, hệ thống sẽ tự động cập nhật dữ liệu vào mẫu S5: Sổ theo dõi tiền lương và các khoản trích theo lương.

Sổ S6-HKD: Sổ quỹ tiền mặt
- Chọn S6-HKD: Sổ quỹ tiền mặt.

- Chọn thời gian Kỳ báo cáo, nhấn Xem báo cáo.

Tại trang báo cáo S6- HKD, kéo phóng to màn hình để xem chi tiết tất cả các khoản thu, chi tiền mặt trong kỳ báo cáo.

- Hoặc Xoay ngang điện thoại để xem màn hình rộng hơn.

- Đổi kỳ báo cáo: Nhấn biểu tượng
để thay đổi kỳ báo cáo. - Tải xuống hoặc chia sẻ báo cáo: Nhấn biểu tượng
để tải xuống báo cáo hoặc chia sẻ báo cáo.
Sổ S7-HKD: Sổ tiền gửi ngân hàng
- Chọn S7-HKD: Sổ tiền gửi ngân hàng.

- Chọn Kỳ báo cáo, nhấn Xem báo cáo.

Tại trang báo cáo S7- HKD, kéo phóng to màn hình để xem ghi chép biến động và số dư tài khoản ngân hàng phục vụ cho hoạt động kinh doanh.

- Hoặc Xoay ngang điện thoại để xem màn hình rộng hơn.

- Đổi kỳ báo cáo: Nhấn biểu tượng
để thay đổi kỳ báo cáo. - Tải xuống hoặc chia sẻ báo cáo: Nhấn biểu tượng
để tải xuống báo cáo hoặc chia sẻ báo cáo.
Chúc Anh/Chị thực hiện thành công!